Resumen
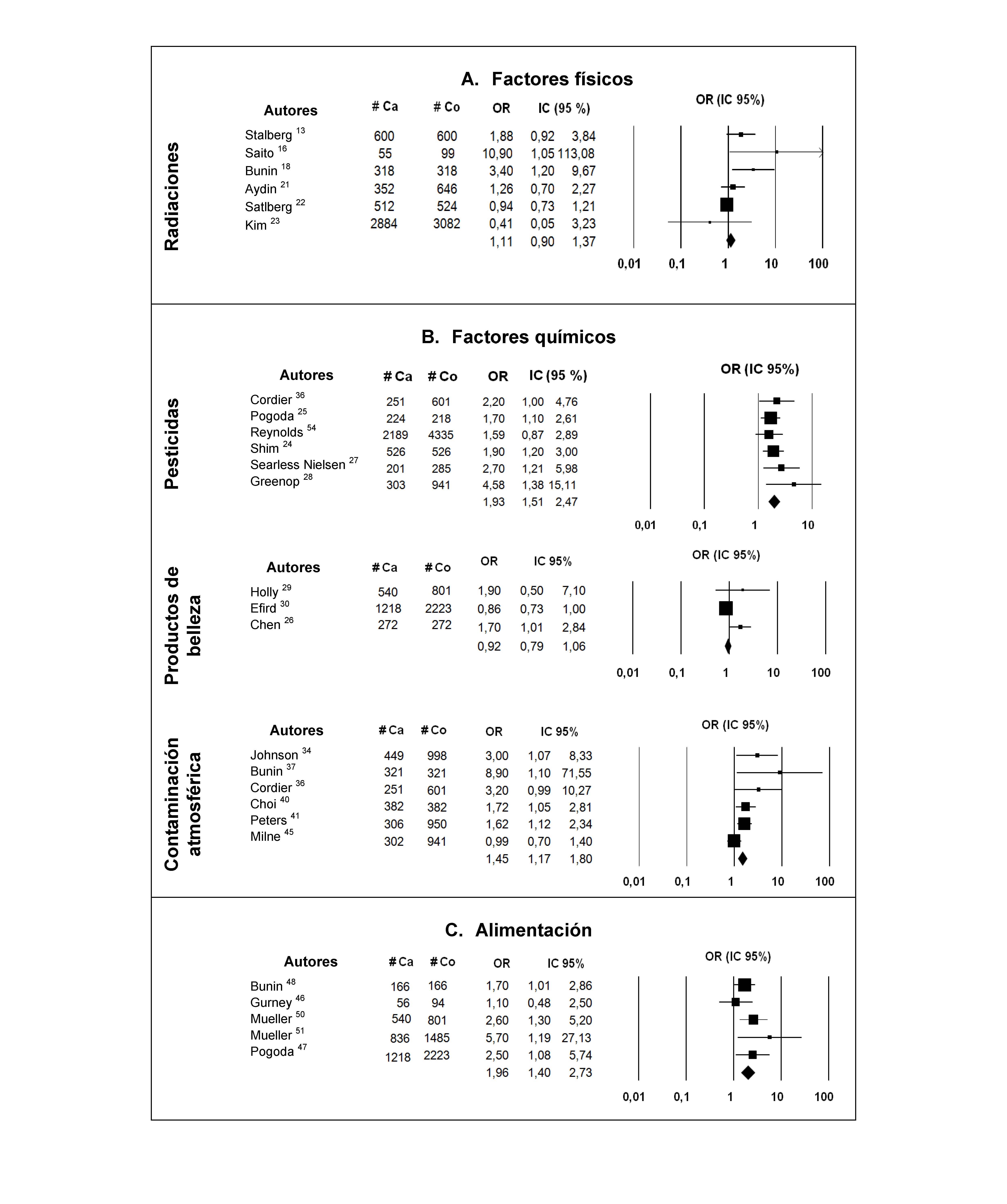
Se analiza el riesgo de tumores en el sistema nervioso central en niños en relación con la exposición a factores ambientales como radiaciones (ionizantes, no ionizantes), sustancias químicas (pesticidas, productos de belleza, contaminantes atmosféricos) y alimentos. Se realizó una revisión sistemática y un metaanálisis con estudios identificados en la búsqueda de PubMed (1987-2013). Los resultados obtenidos a partir de los valores de OR muestran que el riesgo de tumores en el sistema nervioso central en niños se asocia significativamente con la exposición de los padres y que el periodo prenatal es una ventana crítica para varios de los factores ambientales considerados. Aunque la fracción de riesgo atribuible a cada factor aún se desconoce, el análisis estadístico permitió determinar asociaciones significativas para factores químicos como pesticidas (OR: 1,93; IC 95 % 1,51-2,47), contaminantes atmosféricos (OR: 1,45; IC 95 % 1,17-1,80) y alimentos con compuestos N-nitroso (OR: 1,96; IC 95 % 1,40-2,73) especialmente durante la exposición prenatal.Las obras que se publican en esta revista están sujetas a los siguientes términos:
- La revista conserva los derechos patrimoniales (copyright) de las obras publicadas, y favorece y permite la reutilización de las mismas bajo la licencia indicada en el punto 2.
- Las obras se publican en la edición electrónica de la revista bajo una licencia Creative Commons Atribución-NoComercial 4.0 Internacional (CC BY-NC 4.0). Se pueden copiar, usar, difundir, transmitir y exponer públicamente, siempre que se cite la autoría, la url y la revista, y no se utilicen para fines comerciales.
- Los autores están de acuerdo con la licencia de uso utilizada por la revista, con las condiciones de auto-archivo y con la política de acceso abierto.
- En caso de reutilización de las obras publicadas debe mencionarse la existencia y especificaciones de la licencia de uso además de mencionar la autoría y fuente original de su publicación.
Descargas
Los datos de descargas todavía no están disponibles.
